全球最大顶级体育平台
2022年硕士研究生调剂复试成绩公示
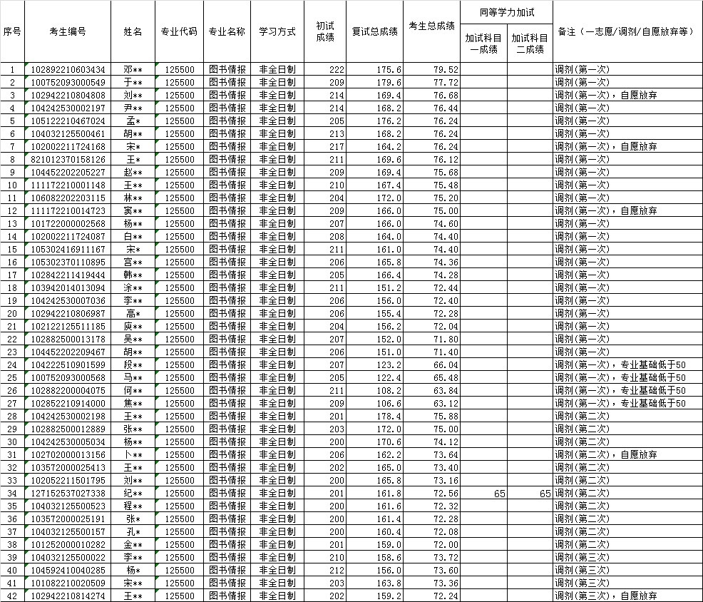
根据《全球最大顶级体育平台2022年硕士研究生复试录取工作方案》,现将硕士研究生调剂复试成绩予以公示。如有异议,请在公示期内反映。
公示期:10个工作日
接访电话:0532-86057126
全球最大顶级体育平台
2022年5月4日

相关新闻
最近更新
404
1078
623
402
1685